Abstract

BACKGROUND: Midostaurin is a first-generation, type I multi-targeted kinase inhibitor with inhibitory activity against FLT3-ITD and -TKD mutations. Midostaurin is approved by FDA and EMA in combination with intensive induction and consolidation chemotherapy for adult patients with AML exhibiting an activating FLT3 mutation; the EMA label also includes single-agent maintenance therapy following consolidation chemotherapy. We conducted a phase-II trial (AMLSG 16-10) to evaluate midostaurin with induction chemotherapy followed by allogeneic hematopoietic-cell transplantation (HCT) and a one-year midostaurin maintenance therapy in younger and older patients with acute myeloid leukemia (AML) and FLT3 internal tandem duplication (ITD).
METHODS: Patients 18 to 70 years of age with newly diagnosed FLT3-ITD-positive AML were eligible. Primary and key secondary endpoints were event-free (EFS) and overall survival (OS); results were compared to those of a historical control cohort of 415 patients with FLT3-ITD AML. Statistical analysis was performed using a double-robust adjustment with propensity score weighting and covariate adjustment. Major differences in trial design compared to the pivotal CALGB 10603/RATIFY trial were: i) only AML with FLT3-ITD were eligible; ii) AML with FLT3 tyrosine kinase domain mutations (only) and core-binding factor AML were not eligible; iii) older patients 60-70 years of age were eligible; iv) all patients were assigned to allogeneic HCT; v) a one-year maintenance treatment with midostaurin was included also after allogeneic HCT; vi) a continuous dosing schedule of midostaurin was applied with the aim to achieve a better target inhibition.
Results: The trial accrued 440 patients, including 312 younger (18-60 yrs) and 128 older (61-70 yrs) patients. Complete remission (CR)/CR with incomplete hematologic recovery rate, median EFS and OS of the 440 patients were 74.9%, 13.6 and 36.2 months, respectively. Multivariate analysis of EFS showed a highly significant hazard reduction for an event for patients treated within AMLSG 16-10 trial compared to the historical controls (HR 0.55; 95%-confidence interval [CI], 0.47, 0.65; P<0.001); this effect was significant in the younger (HR 0.59; 95%-CI, 0.49, 0.71; P<0.001) and the older patient cohort (HR 0.42; 95%-CI, 0.30, 0.60; P<0.001). Multivariate analysis also showed a highly significant beneficial effect on OS (HR 0.57; 95%-CI, 0.47, 0.68; P<0.001), again for both age subgroups. Allogeneic HCT in first CR/CRi was performed according to protocol in 199 of 440 (45%) patients (48% and 38% in younger and older patients, respectively), and an additional 60 patients received allogeneic HCT in firstline therapy (n=33 pts. in CR/CRi after salvage therapy and 27 pts. with active disease); the treatment effect of midostaurin remained significant in sensitivity analysis including allogeneic HCT (n=259) as a time-dependent covariate. Addition of midostaurin to chemotherapy was safe in younger and older patients.
Conclusions: In comparison to a historical control cohort, the addition of midostaurin to intensive therapy led to a significant improvement in EFS and OS in both younger and older adult patients with AML and FLT3-ITD.
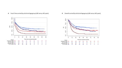
Figure: Survival distribution for the primary endpoint event-free survival (EFS) and key secondary endpoint overall survival (OS) according to study population and age group.
A EFS by cohort and age group (≤60 versus >60 years)
B OS by cohort and age group (≤60 versus >60 years)
Döhner: Astellas: Consultancy, Honoraria, Research Funding; Celgene: Consultancy, Honoraria, Research Funding; AstraZeneca: Consultancy, Honoraria; Astex: Consultancy, Honoraria; Amgen: Consultancy, Honoraria, Research Funding; Agios: Consultancy, Honoraria, Research Funding; Abbvie: Consultancy, Honoraria, Research Funding; GEMoaB: Consultancy, Honoraria; Bristol Myers Squibb: Consultancy, Honoraria, Research Funding; Berlin-Chemie: Consultancy, Honoraria; Helsinn: Consultancy, Honoraria; Janssen: Consultancy, Honoraria; Jazz: Consultancy, Honoraria, Research Funding; Novartis: Consultancy, Honoraria, Research Funding; Oxford Biomedicals: Consultancy, Honoraria; Pfizer: Research Funding; Roche: Consultancy, Honoraria; Gilead: Consultancy, Honoraria; Ulm University Hospital: Current Employment. Fiedler: Servier: Consultancy, Other: Meeting attendance, Preparation of information material; Stemline: Consultancy; Daiichi Sanyko: Consultancy, Other: Meeting attendance, Preparation of information material; Pfizer: Consultancy, Honoraria, Research Funding; Novartis: Honoraria; MorphoSys: Consultancy, Honoraria; Jazz: Consultancy, Honoraria, Other: Meeting attendance, Preparation of information material; Celgene: Consultancy, Honoraria; Ariad/Incyte: Honoraria; Amgen: Consultancy, Honoraria, Other: Meeting attendance, Preparation of information material, Patents & Royalties, Research Funding; Abbvie: Consultancy, Honoraria, Other: Meeting attendance, Preparation of information material. Wulf: Gilead: Consultancy, Honoraria; Novartis: Consultancy, Honoraria; Takeda: Consultancy, Honoraria; Clinigen: Consultancy, Honoraria. Salih: BMS: Honoraria; Celgene: Honoraria; Pfizer: Honoraria; Synimmune GmbH: Honoraria; Novartis: Honoraria. Lübbert: Imago BioSciences: Honoraria; Janssen: Honoraria, Research Funding; Pfizer: Honoraria; Syros: Honoraria; Aristopharm: Research Funding; Cheplapharm: Research Funding; Janssen: Research Funding; Teva: Research Funding; Hexal: Honoraria; Astex: Honoraria; Abbvie: Honoraria. Kühn: Abbvie: Honoraria; Kura Oncology: Honoraria, Research Funding; Pfizer: Honoraria. Schroeder: Abbvie: Honoraria; Astellas: Honoraria; Celgene: Honoraria; Janssen: Honoraria; Jazz: Honoraria; Novartis: Honoraria; Takeda: Honoraria; Pfizer: Honoraria. Salwender: Oncopeptides: Honoraria; GlaxoSmithKline: Honoraria, Other: TRAVEL, ACCOMMODATIONS, EXPENSES; Sanofi: Honoraria, Other: TRAVEL, ACCOMMODATIONS, EXPENSES; Takeda: Honoraria; Amgen: Honoraria, Other: TRAVEL, ACCOMMODATIONS, EXPENSES; Chugai: Honoraria; AbbVie: Honoraria, Other: TRAVEL, ACCOMMODATIONS, EXPENSES; Janssen-Cilag: Honoraria, Other: TRAVEL, ACCOMMODATIONS, EXPENSES; Bristol-Myers Squibb/Celgene: Honoraria, Other: TRAVEL, ACCOMMODATIONS, EXPENSES; Pfizer: Honoraria. Götze: Abbvie: Honoraria; Celgene/BMS: Honoraria, Research Funding. Westermann: Amgen: Consultancy, Honoraria; BMS: Honoraria; Novartis: Consultancy, Honoraria; Stem Cell Line: Consultancy, Honoraria; Abbvie: Consultancy, Honoraria; Pfizer: Consultancy, Honoraria; Sanofi: Consultancy, Honoraria; Astellas: Honoraria. Fransecky: Abbvie: Honoraria, Research Funding; Takeda: Honoraria; Amgen: Honoraria; Novartis: Honoraria; Medac: Honoraria. Mayer: Novartis: Other: Travel support; Celgene: Other: Travel support; Roche: Other: Travel support; Amgen: Other: Travel support; BMS: Other: Travel support; Pfizer: Other: Travel support; Jazz: Other: Travel support; Astellas: Other: Travel support. Hertenstein: Sanofi: Honoraria; Novartis: Honoraria; Celgene: Honoraria; BMS: Honoraria. Tischler: AstraZeneca: Other: Travel support; Novartis: Other: Travel support; Janssen: Honoraria; GSK: Other: Travel support; Sanofi-Aventis: Other: Travel support; Abbvie: Other: Travel support. Paschka: Abbvie: Honoraria, Other: Travel support; Agios: Honoraria, Speakers Bureau; Astellas: Honoraria, Speakers Bureau; Astex: Honoraria; Celgene: Honoraria, Other: Travel support; Jazz: Honoraria; Novartis: Honoraria, Other: Travel support; Otsuka: Honoraria; Pfizer: Honoraria; Sunesis: Honoraria; BMS: Other, Speakers Bureau; Celgene: Honoraria; Janssen: Other; Takeda: Other. Gaidzik: Janssen: Speakers Bureau; Pfizer: Speakers Bureau; Abbvie: Membership on an entity's Board of Directors or advisory committees, Speakers Bureau. Thol: Abbvie: Honoraria; Astellas: Honoraria; BMS/Celgene: Honoraria, Research Funding; Jazz: Honoraria; Novartis: Honoraria; Pfizer: Honoraria. Heuser: Tolremo: Membership on an entity's Board of Directors or advisory committees; Daiichi Sankyo: Membership on an entity's Board of Directors or advisory committees, Research Funding; Bayer Pharma AG: Research Funding; Novartis: Consultancy, Honoraria, Membership on an entity's Board of Directors or advisory committees, Research Funding; Astellas: Research Funding; Jazz: Honoraria, Membership on an entity's Board of Directors or advisory committees, Research Funding; Janssen: Honoraria; BMS/Celgene: Membership on an entity's Board of Directors or advisory committees, Research Funding; Pfizer: Membership on an entity's Board of Directors or advisory committees, Research Funding; Roche: Membership on an entity's Board of Directors or advisory committees, Research Funding; Karyopharm: Research Funding; BergenBio: Research Funding; AbbVie: Membership on an entity's Board of Directors or advisory committees, Research Funding. Schlenk: Astellas: Honoraria, Research Funding, Speakers Bureau; Celgene: Honoraria; Daiichi Sankyo: Honoraria, Research Funding; Hexal: Honoraria; Neovio Biotech: Honoraria; Novartis: Honoraria; Pfizer: Honoraria, Research Funding, Speakers Bureau; Roche: Honoraria, Research Funding; AstraZeneca: Research Funding; Boehringer Ingelheim: Research Funding; Abbvie: Honoraria; Agios: Honoraria. Bullinger: Abbvie: Honoraria, Membership on an entity's Board of Directors or advisory committees; Amgen: Honoraria; Astellas: Honoraria; Bristol-Myers Squibb / Celgene: Honoraria, Membership on an entity's Board of Directors or advisory committees; Bayer: Research Funding; Daiichi Sankyo: Honoraria, Membership on an entity's Board of Directors or advisory committees; Gilead: Membership on an entity's Board of Directors or advisory committees; Hexal: Membership on an entity's Board of Directors or advisory committees; Janssen: Honoraria, Membership on an entity's Board of Directors or advisory committees; Jazz Pharmaceutical: Honoraria, Membership on an entity's Board of Directors or advisory committees, Research Funding; Menarini: Membership on an entity's Board of Directors or advisory committees; Novartis: Honoraria, Membership on an entity's Board of Directors or advisory committees; Pfizer: Honoraria, Membership on an entity's Board of Directors or advisory committees. Döhner: Amgen: Honoraria; BMS/Celgene: Honoraria, Research Funding; Janssen: Honoraria; Jazz: Honoraria; Novartis: Honoraria, Research Funding; Roche: Honoraria; Daiichi Sankyo: Honoraria; Agios: Research Funding; Astex: Research Funding; Astellas: Research Funding. Ganser: Novartis: Honoraria; Jazz Pharmaceuticals: Honoraria; Celgene: Honoraria.
Midostaurin as single-agent maintenance therapy following allogeneic hematopoietic cell transplantation
Author notes
This icon denotes a clinically relevant abstract
